本文目录一览

什么叫微积分?请用生活中通俗易懂的语言描述!谢谢?

回答者:思考思考的动物日期:2023-05-04

(小石头尝试着来回答这个问题)

用生活中通俗易懂的语言描述微积分为:

微分:圆角的桌角的局部放大后近似于平直的,于是膝盖撞上去不会很痛;

积分:土豆的体积近似等于其切出来的土豆条按照长方体计算的体积之和,土豆条切的越细,越准确。

更具体的描述如下:

微积分分为微分和积分两部分,首先,我们来讨论什么是微分?

考虑下面的两个曲线,

某些生活经验(比如:膝盖不小心撞上去的感觉)告诉我们,两个曲线在A点处的特性不同:

蓝色曲线A点处是圆润的;

绿色曲线A点处是棱角的;

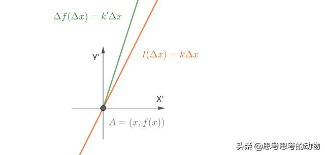
进一步,我们在两个曲线A点处用直尺画一条直线,然后放大A点附近的局部:

观察发现,随着局部的不断放大,两种特性的差异表现明显,在A点处圆润的 蓝色曲线 和 直线越来越 贴近,而A点处棱角的 绿色曲线 则和 直线 毫不相干。

蓝色曲线在A点处的表现,就是微分,具体的数学描述如下:

设 蓝色曲线的对应的函数是 f(x),A 点的 坐标是 (x, f(x)),则可以再 A 处做一个局部坐标 X'AY':

局部坐标 X'AY' 下,蓝色曲线的函数为:

Δf(Δx) = f(x + Δx) - f(x) ①

称其为 函数 f(x) 在 A 点处的变化率,而 直线的函数为:

l(Δx) = kΔx ②

其中 k 为常数,表示直线的斜率。

根据,上面的分析,我们知道 随着 Δx 的减小,Δf(Δx) 和 l(Δx) 越来越 贴近,也就是说,它们的差 Δf(Δx) - l(Δx) 也会越来越小。那么具体,如果描述 这种 贴近呢?

很自然我们会想到:

当 Δx 趋近于 0 时, Δf(Δx) - l(Δx) 也趋近于 0。③

但是,这用来描述贴近,显然不够,因为考虑绿色曲线(上半段),

发现 Δf(Δx) - l(Δx) = (k'-k) Δx, 也满足 当 Δx 趋近于 0 时, Δf(Δx) - l(Δx) 也趋近于 0,但显然 它们不 贴近。于是我们对上面的描述,进行调整:

当 Δx 趋近于 0 时, (Δf(Δx) - l(Δx)) / Δx 也趋近于 0(即,Δf(Δx) - l(Δx) 比 Δx 更快的趋近于 0) ③‘

这样,对于绿色曲线 (Δf(Δx) - l(Δx)) / Δx = (k'-k) 显然是非零常数,就被排除了。

令 o(Δx) = Δf(Δx) - l(Δx) 称 为 Δx 的高阶无穷小量,并将,③‘ 写成极限形式为:

于是最终得到:

这个公式就是 函数 f(x) 在 A 点处的微分。

由 ④, ① 和 ② 有:

等式两边取极限,再 根据 ③' 得到:

令,

称f'(x) 为 f(x) 在 A 处的导数,当 A 点取满 f(x) 的整个定义域时,称 f'(x) 为 f(x) 的导函数,f(x) 为 f'(x) 的原函数。

至此,微分就讨论完毕,接着,我们讨论什么是积分?

积分又分为:不定积分 和 定积分,先说 不定积分。

设 f(x) 是 函数 F(x) 的导函数,即,f(x) = F'(x),现在已知 f(x) 求原函数 F(x),令,

称为不定积分。

也就是说,不定积分,就是求导的 逆运算。

然后是,定积分 也称为 黎曼积分,我们看一则故事(本故事纯属虚构):

自从阿基米德发明排水法后,测量不规则物体的体积已经不是问题。有一天,阿基米德去餐馆吃午餐结果忘了带钱,刚好老板也是一个数学爱好者,于是老板对阿基米德说:“如果 阿基米德先生 可以 只用 带刻度的直尺 测量出土豆的体积,这一顿就免费”。阿基米德最近正在用割圆法计算圆周率,于是很快找到了解决问题的方法:

只见他,迅速用直尺的将土豆切成土豆条,然后将每个土豆条近似当做 长方体,用 直尺量出其长宽高,进而计算出 每个土豆条的近似体积,最后将 所有 土豆条 的体积加起来就是整个 土豆的体积。

餐馆老板,提出质疑,认为 将 土豆条 近似的 当做 长方体,不准确。阿基米德,反问到:

如果,我将每个土豆条在改刀成 更细的 土豆条,是不是就更精确了?

餐馆老板,想了一想,土豆条不准确,就是因为两端是土豆的不规则表面,如果 土豆条根细,那么 规则表面的面积就会更小,误差就会更新。于是回答:是

阿基米德,接着解释:既然,将 土豆条 继续细分,就会得到更高的 精度,那么无限细分下去,总可以得到 准确的 值。

餐馆老板虽然不得不承认这个结果,仍然不满意,他认为:这样无限细分下去,无法结束,因此最终还是得不到这个 准确的 值。

阿基米德,接着说:在现实中,当然不能,但是在数学中就可以了。

可是餐馆老板,依旧不买账,正当两人争执的不可开交时,旁边桌子上,一个年轻人站了起来,说:二位不要争论了,我愿意为这位 阿基米德 先生 付钱。

于是,阿基米德吃完免费的吃午,回去继续计算他的圆周率去了。

而这个年轻人,也马上也返回了自己的住所,并按照 阿基米德 想法,用数学的方法对切土豆进行了 描述,这就是:黎曼积分。这个年轻人就是 黎曼。

最简单的黎曼积分可以用于计算 函数 f(x) 和 X 轴 在 区间 [a, b] 之间 围成的 曲边梯形 面积,

我们在 a 和 b 之间插入一系列点:

a = x₀ < x₁ < ... x_{n-1} < b = x_n

这样将 一个大的 曲边梯形 Λ = ay₀y_nb 分割为 一系列小的 曲边梯形:

δ₁, ... δ_n

其中, 任意 小曲边梯形 δᵢ = xᵢ₋₁yᵢ₋₁yᵢxᵢ 的面积近似于 小矩形 σᵢ = xᵢ₋₁y’ᵢ₋₁y‘ᵢxᵢ 的面积:

Sᵢ = f(ξᵢ) Δxᵢ

这里, ξᵢ 是 xᵢ₋₁ 和 xᵢ 之间任意一点,Δxᵢ = xᵢ - xᵢ₋₁。

于是 Λ 的 面积 S 就近似为,这些 小矩形 的 面积之和:

让,λ = max{Δx₁, ..., Δx_n} , 则 当 λ → 0 时,S' → S,记为:

这就 黎曼积分。

注意: 黎曼积分 还可以 扩展为 勒贝格积分,但是 这 牵扯测度论,比较复杂,不适合这里讨论。

最后,是著名的 牛顿-莱布尼兹公式:

它将 不定积分 和 定积分 关联在一起。

诚如故事所述的那样,黎曼积分不仅可以用于计算曲边梯形面积,还可以计算三维物体的体积,当然还可以 计算,更高维度物体的体积,曲线的质量,物体沿曲线做的功,另外,微分也还可以扩展到 多维 函数 和 向量函数的情况,这些内容属于《多元微积分》其基本原理 和 上面 所述的《一元微积分》类似,这里就不展开讨论了。

(由于小石头数学水平有限,出错在所难免,欢迎各位老师和同学批评指正!)

回答者:寒小李老师日期:2023-10-27

微积分的核心思想在于微分和积分,简单理解:微分就是无限切割,积分就是求和。

1.二维问题的不规则四边形面积问题,就是把曲边梯形先切割,切割n份,再把每一份的面积算出来,加起来就是曲边梯形的面积

2.三维问题就好像是求一个面包的体积,可以把面包切片,切n片,再把每片的体积算出来加到一起,就是整个面包的体积;

回答者:Songww0928日期:2023-04-22

微积分,可以理解为把世界上的曲线,不规则面积,都分隔成非常小(无限小的概念)的一段一段,或者一块一块无限接近规则图形的图形,然后把一段一段的最小直线(无限小)或者无限接近规则图形的图像,加起来就是这个曲线的长度或者是这图形的面积。这里面就涉及到,无穷小概念(曲线上的两个点,无限接近直线),导数概念(曲线上某个点可导,表示这个曲线在这点上是连续的,否则无法计算面积),积分概念(在笛卡尔坐标上,X轴从一个点到另外一个点,这两点之间的无限的最小面积相加,就是我们要的总面积。计算结果就是,这个面积无限接近实际面积……。

回答者:仙界修魔日期:2023-07-21

微积分是连续的,不是量子世界的一份一份的东西。是从宏观世界看微观世界,微观世界的和等于宏观世界。这与量子世界不同,量子的微观世界之和不会简单的等于现实世界。

这样,经典微积分可以在必要时候丢弃无穷小量,也可以对无穷小量进行对此变化率。可以用不同的变化率组合表示另一种变化率。

微积分有墙挡着,这就是极限,无论你怎么朝这个方向走,都不能突破。局部也有墙,那就是极值。

微积分是导航,给定一个方向,迈出无穷小的一步。再给一个方向,迈出无穷小的一步。

回答者:原野309日期:2023-01-19

我就简单的说一下:所谓微分就是无限分割,也就是说你想要多么小它就多么小,满足你需要“小到多少”的条件!现举一例:我们知道速度等于路程(位移)除以时间(位移所用的时间),同理,表示为:U=St—S0/t—to,也就是德尔塔S除以德尔塔t,那么把微分符号加上就是基本微分式了,即:du=ds/dt。积分下次再说吧

回答者:木雨1982日期:2023-01-14

https://m.toutiao.com/is/MXG27Fg/?=用结构化视角重新理解微积分 - 今日头条

回答者:呼吸成繁星点点日期:2023-01-21

我认为数学是为了解决问题的,越是难度大,它的作用就越明显。微积分是解决问题的一种思路和方法。是为生活服务的。生活中,把看似一个不可能解决的事情,无限地细化,可执行,最终会越来越接近接解决目标。这是不是就是微积分的过程呢?嘻嘻!

回答者:26号肥猫日期:2023-01-25

不积跬步,无以至千里。

回答者:西风柔若无日期:2023-02-01

相当于把一头猪做成火腿肠,猪肉的体积很难说清楚(重量比较简单),数火腿肠的根数就容易多了,一根火腿肠的体积是很容易得到的。

回答者:嫁接的树桩日期:2023-09-14

在微信中所积的会员分

返回目录

和珅家产换算人民币是多少?

回答者:大肉肉68436756日期:2023-01-16

在清朝的正史上记载的是2000万两白银,但这还没有估算和珅的固定资产,比如说和珅名下的当铺绸缎庄等。

野史说和珅的家产是当时清政府15年的国民总收入15年什么概念啊!康熙时,清政府一年的国库收入是2900多万两当时一斤大米或者白面的价格在9~10文左右,一斤肉也在30文左右按照一两银子按千文来计算的话,应该能购买100多斤的大米,如果比作我们现在的话,一两银子就是200多块人民币统计一下就是一共有4.4亿两白银,换成现在大概就是880亿元人民币!实际的数比这个更大

返回目录

发票大写数字要求?

回答者:用户3038692841890600日期:2023-09-12

发票大写数字的要求如下:1、汉字大写数字金额如零、壹、贰、叁、肆、伍、陆、柒、捌、玖、拾、佰、仟、万、亿等,一律用正楷或者行书体书写,不得用0、一、二、三、四、五、六、七、八、九、十等简化字代替,不得任意自造简化字。大写金额数字到元或者角为止的,在“元”或者“角”字之后应当写“整”字或者“正”字;大写金额数字有分的,分字后面不写“整”或者“正”字;2、大写金额数字前未印有货币名称的,应当加填货币名称,货币名称与金额数字之间不得留有空白。举例:人民币壹佰零叁元捌角整(¥103.80)3、阿拉伯金额数字中间有“0”时,汉字大写金额要写“零”字;阿拉伯数字金额中间连续有几个“0”时,汉字大写金额中可以只写一个“零”字;阿拉伯金额数字元位是“0”,或者数字中间连续有几个“0”、元位也是“0”但角位不是“0”时,汉字大写金额可以只写一个“零”字,也可以不写“零”字。举例:¥2008.00 人民币贰仟零捌元整¥13000.80 人民币壹万叁仟元捌角整或人民币壹万叁仟元零捌角整扩展资料发票是指一切单位和个人在购销商品、提供或接受服务以及从事其他经营活动中,所开具和收取的业务凭证,是会计核算的原始依据,也是审计机关、税务机关执法检查的重要依据。收据才是收付款凭证,发票只能证明业务发生了,不能证明款项是否收付。发票是指经济活动中,由出售方向购买方签发的文本,内容包括向购买者提供产品或服务的名称、质量、协议价格。除了预付款以外,发票必须具备的要素是根据议定条件由购买方向出售方付款,必须包含日期和数量,是会计账务的重要凭证。

回答者:LZNM林中鸟鸣日期:2023-06-21

发票大写数字的要求如下:

1、汉字大写数字金额如零、壹、贰、叁、肆、伍、陆、柒、捌、玖、拾、佰、仟、万、亿等,一律用正楷或者行书体书写,不得用0、一、二、三、四、五、六、七、八、九、十等简化字代替,不得任意自造简化字。大写金额数字到元或者角为止的,在“元”或者“角”字之后应当写“整”字或者“正”字;大写金额数字有分的,分字后面不写“整”或者“正”字;

2、大写金额数字前未印有货币名称的,应当加填货币名称,货币名称与金额数字之间不得留有空白。

3、阿拉伯金额数字中间有“0”时,汉字大写金额要写“零”字;阿拉伯数字金额中间连续有几个“0”时,汉字大写金额中可以只写一个“零”字;阿拉伯金额数字元位是“0”,或者数字中间连续有几个“0”、元位也是“0”但角位不是“0”时,汉字大写金额可以只写一个“零”字,也可以不写“零”字。

返回目录

“斯密马赛”,“阿里嘎多”是什么意思?

回答者:用户782490034503911日期:2023-12-03

这是日语,中文是“对不起”和“谢谢”。


日语(日语:日本语,英语:Japanese),文字、书写方式、书本(纸张等)上的表现方式称为日文,是一种主要为日本列岛上大和民族所使用的语言。虽然并没有精确的日语使用人口的统计,不过计算日本国内的人口以及居住在日本国外的海外日裔人群,日语使用者应超过一亿三千万人。几乎所有在日本出生长大的日本国民都以日语为母语。此外,对于失聪者,有对应日语文法及音韵系统的日本手语存在。

日语与汉语的联系很密切,在古代(唐朝)的时候,由于受到汉文化的影响,大量的古代汉语词汇随着汉字由中国东北的渤海国和朝鲜等地被传入日本,到了近代的时候,由于明治维新,日本学习西方,大量的欧美词汇被引入日本(主要是英文,当然也有德文和法文),又由日本人重新组合成大量现代日语词汇并被传到邻近的中韩两国,因此被汉语采用,如电话、干部、共产党、社会主义、机器、生产、经济、教育、军事、列强、物理、数学、化学、生物。英语、航空母舰等等。

返回目录

在流量里M表示什么,MB表示什么,KB表示什么,G表示什么,一MB等于多少M,一KB等于多少MB?

回答者:用户2875963114267320日期:2023-01-17

首先说B,B是字节的意思,一个汉字为两个字节,一个英文字母为一个字节。

K是千的意思,一千就是1K,任何场合都通用,比如1000元就是1K元。1000发子弹就是1K发子弹。

M是“兆”的字母代码。

就像“个”“十”“百”“千”“万”“亿”“兆”

在数学上兆字用的很少,一兆就等于是(十亿)

在电脑硬件或数据流量上也是十亿的意思。

先拿容量来说,数据容量的单位为(B)就是字节的意思(流量也是这样的,是指你上传或下载了多少容量的数据)

512MB就是指512兆个字节的容量。

不过在电脑或手机上是1024换一个单位,不像数学是10换一个单位,数学上从0到9是个,10就是十、100就是百。电脑上是1023是个,一般忽略。

1024就是千的单位了,用K表示,就是1K了。

1024千个字节就是十亿(兆)用M表示,1024M就是G(万亿),1024G就是1T(千万亿),你看,用常用单位的话多麻烦,念都要念半天

返回目录